|
Magnetism definition
Part 1
Chaim, Henry Tejman.
Emeritus, Jerusalem university..
United Nature
Theory-Wave Theory
http://www.grandunifiedtheory.org.il/
Only one
strong force-electric, by
swirling motion create perpendicular second force, gravity-magnetic and vice
versa and together are the basic force [electromagnetic] that create quantum
formation and everything.
Electric force:
disperse and condensed behavior come
easy to contact
with other creations.
Gravity-magnetic
force only condensed behavior.
Magnetism
[gravity]: perpendicular force to electric force,
appears always
together as electromagnetic force.
Electromagnetic
– in high phase transition.
Electromagnetic-in
stabile phase transition.
Magneticelectro
in low phase transition.
Gravitymagneticelectro
in very low [condensed] phase transition.
Example: neutrino..
Magnetic force one of
the fundamental forces that arises due to the movement of electrical charge.
Maxwell's
equations.
Magnetic force field appears in closed loops.
On basis Faraday’s experiment create Maxwell ingenious equation of motion energetic matter by two [one]
forces. The famous, Maxwell, equation, clearly show motion of energetic
matter by open quanta formation [electric-magnetic-electric…
Two perpendicular forces [ of the one ] always appears in superposition
Motion of
energetic matter by quanta creation.
Pictures {from Google} of nature behavior.
Continue electric
path create different open quanta {Schwarzchild’s} perpendicular swirls.
Motion of
energetic matter by quantum creation. Left, electricity current. Rt
.picture. from hurricane
Pictures of nature behavior {from Google}.
Maxwell equation, exactly, describe the Nature behavior.
High energetic organic and not
organic formations behave as open continue quanta [electric-magnetic-electric
magnetic.by two perpendicular semi loops.]
|

|

|

|

|

|

|
|
Quantum
energetic matter dispersion
|
Quantum
energetic matter dispersion
|
Quantum
reproduction
(duplication)
|
Quantum
ren
|
Two
perpen-
dicular
semi
loops
!
|
Quantum
energetic matter .dispersio
|
Magnetic force appears by continue
motion of elecromagnetic force by quanta behavior [from open ……to closed
quanta]
See quanta equations.
By endless sophisticated behavior of
quantum appear different ingenious equations.
|
Schrödinger’s
equation:
|

|
|
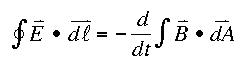
Faraday’s equation:
|

|
|
Maxwell equation:
|

|
|
Planck’s
equation:
|

|
|
Einstein’s
equation:
|

|
The de Broglie equation f =E/h, or E= fXh
Equation of everything-Tejman:
Equilibrium of all electromagnetic forces-times in quantum formation in all
phase transition [her in photon phase].
Magnetic-gravity, stabile part of
quantum, easy given to deal in laboratory, so appears different equations
depending of space time geometry and energetic capacity of given things time,
so appears endless equations
Summary
Only one
strong force-electric by swirling motion create, magnetic gravity force,
basic force,
for stabile formations.
This article may copied but please
cited the source.
©
Copyright Dr. Tejman Chaim, Henry. June.
2010
Theory
of everything.
http://www.grandunifiedtheory.org.il/
|